30.3. РЕЛАКСАЦИОННЫЕ АВТОКОЛЕБАНИЯ В ЦЕПЯХ 1-го ПОРЯДКА
Выполненный анализ позволил
установить условия существования
автоколебаний в цепи. Однако
непосредственное рассмотрение фазовой траектории ничего не говорит о характере изменения во времени тока и напряжений на отдельных участках цепи. Для получения такой информации рассмотрим две стадии процесса:
1) возрастание тока от значения i1
до i2 (участок фазовой траектории
1' - 2 на рис.
30.7), затем практически мгновенное повышение напряжения на диоде от значения
до
;
2) уменьшение тока от значения i2 до
i1 (участок 2' - 1), с последующим скачкообразным переходом из точки 1 в точку
1'.Этот
процесс периодически повторяется, и
поэтому достаточно рассмотреть лишь две
эти стадии.
Используя кусочно-линейную аппроксимацию характеристики диода, примем, что на каждом из участков диод можно заменить линейным резистором с дифференциальным сопротивлением:
на 1-м участке и
на 2-м. Такое предположение позволяет рассчитать обе фазы методами теории линейных цепей.
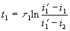
Процесс возрастания тока на 1-м участке описывается уравнением
,
решение которого запишем в виде
, где
;
. Постоянную
определим из начального условия, согласно которому в начале процесса (при
t = 0) ток равен i1,
. Окончательно для тока на 1-м участке имеем
.
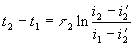
Этот процесс продолжается до тех пор, пока ток не достигнет значения
i2. Определим время продолжительности этого процесса
t1, решая уравнение
:
.
Аналогично рассчитываем 2-ю стадию, когда изменение тока определяется уравнением
,
где
начальная абсцисса участка аппроксимации диода (см. рис.
30.6).
Его общее решение можно записать в виде
,
где
постоянная времени;
.
Ток в начале стадии (при
) равен
, и
. Поэтому спад тока выражается соотношением
,
Отсюда найдем время, в течение которого ток уменьшается до значения
:
.
Таким образом, полный цикл автоколебаний совершается за время
.
На рис. 30.9 изображены зависимости тока от времени. Так как
, то
и нарастание тока (1-ая стадия) проходит медленно, а его спад (2-ая стадия)
быстро.

Рис. 30.9
Такие автоколебания, резко отличающиеся от синусоидальных, называются релаксационными. Схемы для их получения отличаются от синусоидальных автогенераторов наличием лишь одного накопителя энергии и элемента с отрицательным дифференциальным сопротивлением.
Аналогичный характер имеют автоколебательные процессы в цепи, включающей источник тока J0, питающий параллельно включенные линейный резистор G0, конденсатор С и нелинейный элемент с S-образной характеристикой u(i), управляемой током (рис. 30.10, а). Такой характеристикой обладает, например, неоновая лампа. При выборе параметров источника J0 и G0 такими, чтобы точка равновесия Р находилась на
Pис. 30.10
падающем участке характеристики (рис. 30.10, в), последняя является неустойчивой, и процесс состоит из периодической зарядки конденсатора до напряжения u2, после которого следует скачкообразное увеличение тока в нелинейном элементе, приводящее к резкому уменьшению его дифференциального сопротивления. конденсатор С начинает разряжаться на это малое сопротивление до тех пор, пока напряжение и на конденсаторе, и на нелинейном элементе не упадет до значения u1. При этом напряжении следует резкий спад тока, дифференциальное сопротивление элемента возрастает, и конденсатор вновь начинает заряжаться. Этот процесс является циклическим, и его отдельные фазы полностью аналогичны рассмотренным выше для дуальной цепи с туннельным диодом (см. рис. 30.5, а). На практике для осуществления автоколебательного режима в такой цепи используют источник напряжений U0 с последовательно включенным большим линейным сопротивлением R0 (рис. 30.10, б). Их параметры U0, R0 выбираются так, чтобы обеспечить необходимое положение рабочей точки Р на характеристике нелинейного элемента (см. рис. 30.10, в).