19.7. РАСЧЕТ ПЕРЕХОДНЫХ ПРОЦЕССОВ ПРИ НЕКОРРЕКТНЫХ КОММУТАЦИЯХ
К достоинствам операторного метода относится также и то, что он позволяет по общей схеме рассчитывать переходные процессы в случаях, когда нарушаются законы коммутации — не соблюдается непрерывность токов в катушках и напряжений на конденсаторах. Нарушение непрерывности переменных состояния имеет место, если коммутация — замыкание или размыкание ключа — приводит к такому изменению структуры цепи, при котором образуются сечения из индуктивностей и источников тока, начальные значения токов которых не удовлетворяют первому закону Кирхгофа, или возникает контур из емкостей и источников ЭДС, напряжения в котором не удовлетворяют второму закону Кирхгофа. Простейшие схемы с примерами некорректных коммутаций изображены на рис. 19.9.

Рис. 19.9
В схеме, приведенной на рис. 19.9, а до размыкания ключа значения токов в обеих катушках L1 и L2 были неодинаковы:
;
. После коммутации, в результате которой в цепь последовательно с индуктивностью L1 вводилась индуктивность L2, имеем
. Следовательно, оба тока принципиально не могут сохраниться непрерывными в момент коммутации. Вследствие скачкообразного изменения токов напряжения на катушках
в момент некорректной коммутации принимают бесконечно большие значения — они имеют характер импульсных функций.
Аналогично при подключении незаряженного конденсатора С2 параллельно к заряженному С1 (рис. 19.9,б) нарушается непрерывность напряжений на конденсаторах:
, а
. Этот процесс мгновенной перезарядки конденсаторов сопровождается протеканием бесконечно больших — импульсных — токов через конденсаторы.
Расчет таких переходных процессов на основе дифференциальных уравнений требует определения начальных значений токов iL и напряжений uC при
. Для этого можно использовать условия непрерывности суммарного потокосцепления обеих катушек
или условие непрерывности суммарного заряда конденсаторов
. Однако применение операторного метода позволяет при использовании в расчете начальных условий переменных состояния до коммутации
и
не только получить импульсные составляющие напряжений и токов в цепи при
, но определить их последующие изменения. При этом общая схема расчета цепи операторным методом при ненулевых начальных условиях полностью сохраняется.
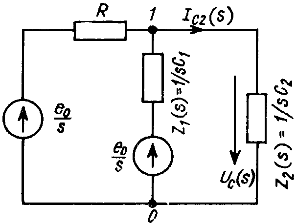
Рассмотрим расчет переходного процесса в схеме, изображенной на рис. 19.9,
б. С учетом указанных выше начальных условий
эквивалентная операторная схема цепи имеет вид, показанный на рис. 19.10. Для напряжений
,
применяя метод узловых напряжений, получим
|
Рис.19.10 |
Далее имеем
|
С помощью теоремы разложения найдем оригинал этого изображения
.
Отсюда видно, что
, т.е. соблюдается отмеченная выше непрерывность суммарного заряда конденсаторов. До коммутации мы имели
;
, а после коммутации:
;
. Сумма зарядов
и
.
Для изображения тока в конденсаторе
получим
.
Поскольку это выражение представляет неправильную дробь, ему соответствует оригинал, имеющий слагаемое в виде d-функции. Для его нахождения выделим целую часть изображения, которая определяет площадь d-импульса тока:
.
Оригинал второго слагаемого находим по теореме разложения
.
Это выражение показывает, что ток переходного процесса складывается из быстрой составляющей импульсного характера, обусловливающей мгновенную подзарядку конденсатора C2 до напряжения
, и последующей медленной — экспоненциальной — составляющей, определяющей дозарядку обоих параллельно включенных конденсаторов до напряжения источника e0 (рис. 19.11).

Рис. 19.11
Полученный результат связан с идеализацией свойств цепи — пренебрежением сопротивлением и индуктивностью контура, возникающего при замыкании ключа. При учете этих параметров, реально всегда отличных от нуля, токи в ветвях рассматриваемой цепи будут в течение всего переходного процесса иметь конечное значение. Однако расчетные соотношения для их определения будут более сложными — учет сопротивления контура приводит к описанию цепи уравнениями второго порядка, а учет индуктивности — уравнениями третьего порядка. Поэтому идеализация свойств цепи — пренебрежение параметрами
и
контура — упрощает расчет.
Необходимо обратить также внимание на то, что в момент некорректной коммутации нарушается непрерывность суммарной энергии, запасенной в электрическом поле обоих конденсаторов. Действительно, в рассмотренном случае (см. рис. 19.9,
б) до коммутации энергия первого конденсатора
, а
. Непосредственно после коммутации и связанной с ней перезарядкой конденсаторов
, а
. Следовательно, суммарная энергия при коммутации уменьшается:

.
Последнее утверждение связано с тем, что часть энергии, тем не менее, тратится на необратимые процессы в контуре перезарядки. Несмотря на нулевое сопротивление цепи, выделение тепла в ее элементах при протекании бесконечно большого тока имеет место — мощность p = i2R, потребляемая при этом в контуре, бесконечна, и за бесконечно малый промежуток времени не изображенные на схеме элементы цепи успевают поглотить конечную часть энергии. В этом можно убедиться, рассматривая необратимое выделение энергии в контуре из конденсаторов с конечным сопротивлением R. При предельном переходе R ® 0 эта энергия сохраняет конечное значение.