13.6. АКТИВНЫЕ ФИЛЬТРЫ, ИХ КАСКАДНАЯ РЕАЛИЗАЦИЯ
Активные RC-фильтры состоят из пассивных элементов R, C и усилителей напряжения, включаемых на выходе отдельных каскадов. Малое выходное сопротивление каскадов, реализуемых с помощью операционных усилителей, позволяет считать их развязанными и пренебречь зависимостью передаточных функций отдельных каскадов от нагрузки. Тогда передаточная функция фильтра в целом определяется как произведение передаточных функций отдельных каскадов-звеньев (рис. 13.14). Каждый из них реализует один сомножитель, на которые разложена передаточная функция фильтра. Обычно отдельные звенья реализуют передаточные функции 2-го или 1-го порядка и содержат соответственное число конденсаторов, один или большее число усилителей, резисторы.

Рис. 13.14
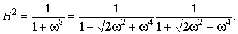
Активный фильтр нижних частот 2-го порядка с характеристикой H2 = 1/(1 + w4) реализуется одним звеном 2-го порядка. Для построения фильтра 3-го порядка с характеристикой H2 = 1/(1 + w6) разложим передаточную функцию на сомножители: H2 = 1/(1 + w6) = [1/(1 + w2)] × [1/(1 – w2 + w4)]. Отсюда следует, что первый сомножитель реализуется звеном 1-го, а второй звеном 2-го порядка (рис. 13.14). Задачу реализации фильтра 4-го порядка решают с помощью каскадного включения двух звеньев 2-го порядка. Для этого его передаточную функцию представляют в виде
![]()
Описанный способ имеет общий характер, так как любую алгебраическую функцию H2( w2) можно разложить на сомножители со знаменателями 1-го порядка 1 + a0kw2 и 2-го порядка 1 + a1kw2 + a2kw4.