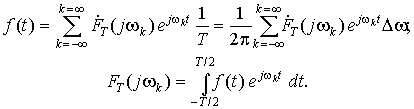
11.2. СПЕКТРАЛЬНОЕ ПРЕДСТАВЛЕНИЕ НЕПЕРИОДИЧЕСКИХ СИГНАЛОВ
Переход от спектрального представления периодического сигнала к непериодическому можно осуществить, рассматривая соотношения комплексной формы ряда Фурье для сигналов с периодом T при T ® ¥. Из выражения (11.4) и рассмотренного примера следует, что при таком предельном переходе интервалы между соседними частотами дискретного спектра Dw = wk – wk–1 = 2p/T неограниченно уменьшаются, что приводит к непрерывному спектру, соответствующему непериодическому сигналу. Однако его коэффициенты Фурье

При предельном переходе при T ® ¥ Dw заменим на бесконечно малую dw, а дискретные значения частоты
wk на непрерывные w, изменяющиеся в пределах от –
до +
. В результате сумма в выражении для f(t) перейдет в интеграл. Заменяя обозначение FT(jwk) на F(jw), окончательно получим для спектрального представления непериодического сигнала:
![]() |
(11.5) |
![]() |
(11.6) |
Полученные формулы определяют прямое (11.5) и обратное (11.6) интегральные преобразования Фурье. С их помощью непериодическая функция времени f(t) представляется совокупностью бесконечно большого числа синусоидальных составляющих с бесконечно малыми амплитудами dA(w) = 2(1/2p)|F(jw)| dw, частоты которых принимают любые значения от 0 до
¥. Величина F(jw), характеризующая распределение отдельных составляющих в спектре сигнала, называется спектральной плотностью. Напомним, что для сходимости несобственного интеграла (11.5) необходимо, чтобы функция f(t) была абсолютно интегрируемой, т. е. чтобы существовал интеграл
. Это существенно ограничивает класс сигналов, допускающих преобразование Фурье в строгом математическом смысле: исключаются, в частности, все сигналы, не убывающие при t ® ± ¥.
Графическое изображение сплошного спектра непериодического сигнала включает частотные зависимости модуля F(w) = |F(jw)| и аргумента аrg F(jw) или вещественной и мнимой частей спектральной плотности F(jw) = Fв(w) + jFм(w). Для абсолютно интегрируемых сигналов эти зависимости представляются ограниченными кривыми.
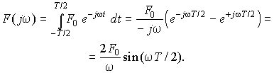
Определим спектр одиночного прямоугольного сигнала длительностью T (рис. 11.5, а). Поскольку f(t) отлична от нуля лишь в интервале времени –T/2 < t < T/2, пределы интегрирования в интеграле для спектральной плотности можно принять ограниченными:

В рассматриваемом примере спектральная плотность F(jw) вещественна, так как исходный сигнал f(t) является четной функцией времени. График модуля |F(jw)| изображен на рис. 11.5, б. Он представляет непрерывную кривую и является неограниченным по частоте. С ростом частоты плотность амплитуды гармоник убывает.

Рис. 11.5