6.2. ПРИНЦИП НАЛОЖЕНИЯ (СУПЕРПОЗИЦИИ)
Принцип наложения формулируется следующим образом: ток (напряжение) на участке цепи, в которой действуют несколько независимых источников ЭДС и тока, равен алгебраической сумме токов (напряжений), вызываемых каждым из этих источников в отдельности.
Принцип базируется на линейности уравнений цепи и позволяет свести задачу анализа цепи к рассмотрению частных режимов, в каждом из которых учитывается один независимый источник. Управляемые источники, действующие в цепи, следует учитывать в каждом из частных режимов.
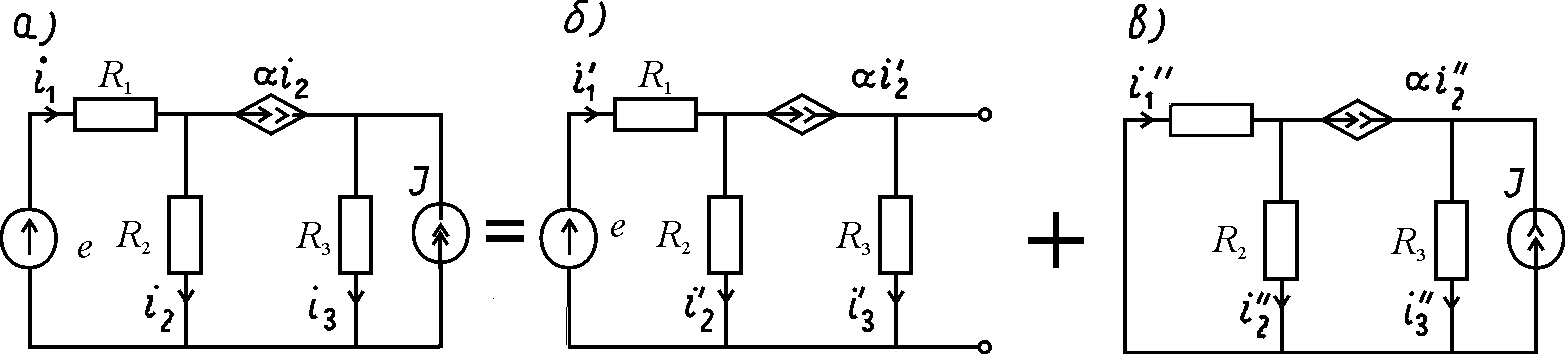
В цепи, включающей источник ЭДС e и тока J, а также управляемый источник тока
i2 (рис. 6.2, а), применение принципа приводит к анализу двух режимов:
1) при действии e источник тока исключается (рис. 6.2, б);
2) действие источника J рассматривается при закороченном источнике ЭДС, т. е. когда
e = 0 (рис. 6.2, в).

Рис. 6.2
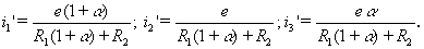
Токи ветвей для 1-го режима определяем из следующих уравнений:
,
откуда
![]()
Уравнения для 2-го режима имеют вид:
,
. Эта пара однородных уравнений имеет нулевое решение:
, поэтому
. Окончательно найдем:
![]()
![]()
Отметим, что при суммировании токов частных режимов учитывают принятые их направления, которые могут быть различными.