3.1. УЗЛОВЫЕ УРАВНЕНИЯ
Недостатком метода расчета, основанного на непосредственном решении уравнений электрической цепи, является необходимость оперировать с большим числом уравнений. Число неизвестных в такой системе легко сократить, исключая с помощью компонентных уравнений либо токи, либо напряжения ветвей, т. е. выбирая в качестве базиса одну из переменных для каждой ветви. Однако и это приводит к необходимости решать систему уравнений, число которых равно числу ветвей.
Часто в виде подобного базиса используют узловые напряжения — напряжения узлов цепи относительно одного узла, принятого в качестве опорного. Для связной цепи с q узлами число таких напряжений равно q – 1. Основой для формирования узловых уравнений являются уравнения первого закона Кирхгофа.
Для вывода узлового уравнения рассмотрим k-й узел цепи (рис. 3.1), соединенный с узлами 0, 1 – 3 ветвями, содержащими проводимости G = 1/R, источники ЭДС и тока.

Рис. 3.1
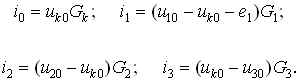
При выборе направлений токов, указанных на рис. 3.1, уравнение первого закона Кирхгофа для k-го узла имеет вид
![]()
Выразим токи в ветвях, присоединенных к узлу, через узловые напряжения u10, u20, u30 и проводимости ветвей G:

Подстановка и группировка членов приводят уравнение первого закона к виду
|
(3.1) |
В общем виде узловое уравнение для k-го узла можно записать, используя двойную индексацию проводимостей, принятую для линейных алгебраических систем:
Gk1u10 + Gk2u20 + ...+ Gkkuk0 + ... = Jkу.
Как следует из рассмотренного примера, коэффициент Gkk — собственная проводимость k-го узла — равен сумме проводимостей всех ветвей, присоединенных к данному узлу. Коэффициент Gkm — общая проводимость узлов k и m — представляет взятую со знаком “минус” сумму проводимостей ветвей, соединяющих непосредственно узлы k и m. Правая часть узлового уравнения — узловой ток Jkу — равен алгебраической сумме источников тока, присоединенных к данному узлу. Источники ЭДС e в составных ветвях, включенные последовательно с проводимостями G, учитываются в узловых токах в виде произведения eG рассматриваемой составной ветви (пока предполагается отсутствие ветвей с идеальными источниками ЭДС, для которых G = ¥). Слагаемые узлового тока берутся со знаком “плюс” для источников, направленных к данному узлу, и со знаком “минус” — при противоположном направлении.
Таким образом, для цепи с q узлами имеем q – 1 узловое уравнение с q – 1 неизвестными — линейную алгебраическую систему, общая матричная запись которой имеет вид
![]()
где Gу — квадратная матрица узловых проводимостей; u0 — вектор узловых напряжений; Jу — вектор узловых токов:

Матрица узловых проводимостей пассивной цепи является симметричной — общие проводимости равны друг другу Gmk = Gkm по смыслу их определения.