1.2. ЭЛЕМЕНТЫ ЭЛЕКТРИЧЕСКИХ ЦЕПЕЙ
Элементы электрической цепи, осуществляющие преобразование различных видов энергии в электромагнитную, расходуемую и запасаемую в других элементах, называются источниками (генераторами) или активными элементами цепи. Элементы, осуществляющие необратимое потребление электромагнитной энергии или ее накопление, являются пассивными элементами. Простейшие элементы цепи, связанные с остальными двумя выводами, называются двухполюсниками.
Пассивные элементы. Необратимое потребление энергии осуществляется в резистивном элементе R (Табл. 1.1, строка 1). При согласованных направлениях отсчета тока и напряжения, указанных на рисунке, связь между ними выражается законом Ома: uR = Ri, где R сопротивление элемента параметр, определяющий интенсивность потребления энергии. Часто используется и обратное соотношение iR = Gu, где G = 1/R проводимость элемента. Потребляемая резистором мощность и энергия положительны:
![]()
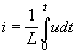
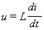
Накопление энергии в магнитном поле осуществляется в индуктивном элементе L (Табл. 1.1, строка 2), в котором при протекании тока
i, изменяющемся во времени, изменяется потокосцепление
и наводится ЭДС (
). Параметр
L индуктивность определяет интенсивность накопления энергии. Для преодоления ЭДС
e к зажимам элемента от внешних источников должно быть приложено напряжение
.Индуктивный элемент потребляет энергию при положительных значениях
, когда энергия магнитного поля
возрастает, и отдает ее при
.
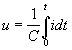
Процесс накопления энергии в электрическом поле осуществляется в емкостном элементе C (Табл. 1.1, строка 3), ток которого
i = dq/dt определяется скоростью изменения заряда на обкладках элемента, связанного с напряжением между обкладками выражением
q = CuC, где C емкость элемента, определяющая интенсивность накопления энергии. Элемент потребляет энергию
при
и отдает ее при
.
Зависимости u(i) резистора, Y(i) индуктивной катушки, q(u) конденсатора характеристики элементов в общем случае нелинейны. Обладающие такими характеристиками элементы называются нелинейными. При линейности соответствующей характеристики параметры R, L или C постоянны, и элементы называются линейными. Связи между напряжением и током линейного индуктивного и емкостного элементов указаны в Табл. 1.1. Цепь, составленная целиком из линейных элементов, называется линейной. Описывающие ее дифференциальные или алгебраические уравнения являются линейными. Энергия, накапливаемая в линейных элементах L и C, дана выражениями, приведенными в Табл. 1.1.
Таблица 1.1
|
элемент |
схема |
напряжение |
ток |
энергия |
|
резистивный |
|
u = Ri |
i = Gu |
|
|
индуктивный |
|
|
|
|
|
емкостной |
|
|
|
|
Активные элементы. Реальные источники энергии часто работают в одном из следующих режимов:
1) во всем диапазоне допустимых значений тока напряжение на зажимах мало зависит от протекающего тока;
2) наоборот, в рабочем диапазоне ток, генерируемый источником. мало зависит от напряжения на его зажимах.
|
Рис. 1.2 |
Идеализация свойств источников 1-го типа приводит к источнику ЭДС |
Для изображенного стрелкой на рис. 1.2, а направления отсчета напряжения имеем u = e. Принятое направление отсчета u соответствует направлению линий напряженности электрического поля, возникающего в окружающем источник пространстве. Если к зажимам источника присоединить пассивный элемент, то это электрическое поле вызовет движение положительных зарядов во внешней цепи электрический ток i в направлении стрелки.
Идеализация свойств источника 2-го типа это источник тока (рис. 1.2, б), ток которого J не зависит от напряжения u на его зажимах.
Для описания свойств компонентов электронных цепей (например, транзисторов) вводят управляемые (зависимые) источники, параметры которых зависят от напряжений или токов на других участках рассматриваемой электрической цепи. Существуют четыре типа управляемых источников:
Рис. 1.3 |
1) Источник напряжения, управляемый напряжением (ИНУН), или усилитель напряжения, ЭДС которого пропорциональна напряжению uab между точками a и bцепи (рис. 1.3, а). Другой способ схемного изображения усилителя напряжения приведен на рис. 1.4, а. Он эквивалентен рис. 1.3, а и предполагает, что ток во входной ветви |
усилителя iвх = 0 входное сопротивление усилителя бесконечно, а напряжение на выходе
iвых = kuвх не зависит от присоединенной нагрузки выходное сопротивление равно нулю.
2) Источник тока, управляемый напряжением (ИТУН), ток которого пропорционален напряжению
uab на другом участке (рис. 1.3, б).
3) Источник напряжения, управляемый током (ИНУТ), ЭДС которого пропорциональна току
iab на каком-либо участке (рис. 1.3, в).
4) Источник тока, управляемый током (ИТУТ), или усилитель тока, ток которого
J пропорционален току другого участка цепи
iab
(рис. 1.3, г).
Разновидностью усилителя напряжения является операционный усилитель (ОУ). Он усиливает разность напряжений uab = ua – ub, приложенных к входным узлам (рис. 1.4, б).

Рис. 1.4
Вход b, полярность напряжения которого изменяется усилителем, называется инвертирующим, вход a неинвертирующим. Выходное напряжение такого усилителя равно uвых = k(ua – ub). С учетом того, что коэффициент усиления k операционных усилителей достигает значений 104 – 106, часто принимается идеализация, связанная с допущением о бесконечном значении коэффициента усиления операционного усилителя. Однако, поскольку при k ® ¥ выходное напряжение остается ограниченным, принятая идеализация ведет к требованию равенства напряжений входных узлов a и b. Таким образом, для идеального ОУ с k = ¥ имеем следующие условия: ua = ub; ia = 0; ib = 0.
Рассмотренные типы элементов являются идеализированными моделями компонентов электрических цепей резистора, катушки индуктивности, конденсатора, источника энергии. С их помощью можно также отобразить второстепенные, или, как иногда говорят, "паразитные" явления, имеющие место в других компонентах реальных электромагнитных устройств и в окружающем их пространстве. Более полную модель можно построить, путем соединения отдельных элементов в так называемую схему замещения рассматриваемого устройства.
Отметим, что введенный набор трех идеальных пассивных элементов, а также независимых и управляемых источников позволяет создавать схемные модели практически любых электромагнитных приборов и устройств, с которыми мы встречаемся на практике.